Klasse 11a
Link: Kurvenuntersuchung, ergänzt am 04.04.2020
Bunte Aufgabenmischung zur Analysis auf einen vereinzelten Wunsch hin :) Vom 04.04.
Die Aufgaben und Themen vom 18.03. - 27.03.2020
Mittwoch, 18.03.
Wiederholung zu Vektoren.
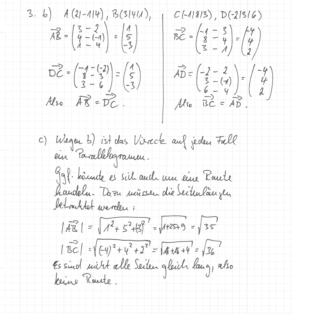
Die folgende Aufgabe hatten wir zwischendurch einmal.

Hier die Lösung zu dieser Aufgabe.

3. Übungen
a) Prüfe, ob es sich um Parallelogramme handelt:
a1) A(0|0|3), B(7|6|5), C(11|7|5), D(4|4|3)
a2) A(10|10|5), B(6|17|7), C(1|10|9), D(5|3|7)
b) Das Viereck ABCD ist ein Parallelogramm. Drei Punkte sind bekannt: A(0|3|1), B(6|5|7), C(4|1|3).
Bestimme die Koordinaten des fehlenden Punktes D.
Handelt es sich um eine Raute?
Donnerstag, 19.03.
Heute gibt es ein neues Kapitel zur analytischen Geometrie, und zwar geht es um Vektoraddition und Vektorsubtraktion. Ich greife einfach auf das Buch zurück. Da ich nicht sicher bin, ob alle das Buch mit nach Hause genommen haben, habe ich die Seiten in eine pdf-Datei kopiert. Diese öffnen, bitte.
1. Führe die Übungen 2 und 4 durch.
2. Die Vektoraddition hat anschaulich auch damit zu tun, dass man sich entlang verschiedener Wege - Wege im Sinne von hintereinander abgelaufener Vektoren, sozusagen Vektorketten - von einem Punkt zu einem anderen Punkt bewegen kann.
Suche solche Vektorketten wie in der folgenden Audiodatei beschrieben.

Freitag, 20.03.
Hier gibt es erst einmal eine Lösungen-Pdf-Datei mit drei kleinen Aufgaben.
1. Die verbliebenen Aufgaben des Physikarbeitsblattes AB I.w.3, nämlich 9 und 12, sollten noch gelöst werden. Die letzte Aufgabe der Lösungen ist eine Physikaufgabe, die beispielgebend sein könnte.
2. Dann möchte ich die Schräglagen-Aufgaben, die wir, glaube ich, mal ganz kurz angerissen haben, nochmal aufgreifen.
Erratum: Man schaut nicht senkrecht auf die Kreisscheibe sondern von der Seite.

Und nun lässt sich auch die allerletzte Aufgabe, Nr. 10, lösen. Eine der beiden Aufgaben der Abbildung darf natürlich auch gelöst werden.
Dienstag, 24.03.
Wieder greife ich auf das Buch zurück, diesmal auf die Seiten 43 und 44. Diese öffnen, bitte.
1. Folgende Aufgaben der Seite 44 bearbeiten:
Nr. 7: a), c)
Nr. 8: b), c), d)
Nr. 9: a), d), e), f)
Nr. 10: a), b)
Nr. 11: a), b), c)
Nr. 12: a), b), c); zeichnerische und/oder rechnerische Lösungen möglich
Mittwoch, 25.03.
Es gibt wieder einmal eine pdf-Datei mit vielen Aufgaben. Die sollen aber auch für heute und morgen reichen. Trotzdem morgen hier wieder hereinschauen. :-)
Ich erläutere mal gar nichts, sondern überlasse dich den Beispielen. Falls ich dazu etwas erzählen soll, dann teile mir das gerne mit. Auf der 2. Seite gibt es Wiederholungsaufgaben zu allen Teilthemen.
Donnerstag, 26.03.
Bitte die Aufgaben von gestern weiter machen und mir auch wieder Lösungen schicken.
Freitag, 27.03.
Heute gibt es nur ein paar Lösungen. Nutzt sie bitte als Vergleich aber auch als Inspiration für die weitere Bearbeitung der alten Aufgaben.



Ich werde in den Ferien wahrscheinlich weitere Seiten zur Kurvenuntersuchung ergänzen. Ich hoffe, wir sehen uns nach den Ferien bald persönlich wieder. Bis dahin also eine gute Zeit und frohe Ostern!