Klasse 9a
Allgemeines
Für Rückmeldungen, deine Lösungen von Arbeitsblättern, eigene Fragen, Bitten etc., gibt es folgende Möglichkeiten, mich zu erreichen:
E-Mail: goldkamp@psmh.schule
SMS: 0151-24240802
Skype: goldrei
Arbeitsaufträge
Freitag, 27.03.
1. Zunächst ein paar Lösungen der letzten Aufgabenblätter. Vergleiche mit deinen Lösungen bzw. nutze sie, um die Aufgaben erneut zu bearbeiten.




2. Statt neuer Aufgaben ein kleines Pflicht-Kahoot:
Der Direktlink oder kahoot.it mit dem PIN 0881594
Frohe Ostern!
Donnerstag, 26.03.
Aufgaben wie gestern.
Ich weiß gar nicht, ob wir schon mal ein Kahoot miteinander gespielt haben. Hier ist bis Samstagabend mein leicht verändertes Oster-Kahoot verlinkt.
Wer mitmachen möchte, kann auch auf "kahoot.it" gehen und den PIN 0361824 eingeben. Ich würde mich freuen, wenn ich dich am Nicknamen identifizieren könnte.
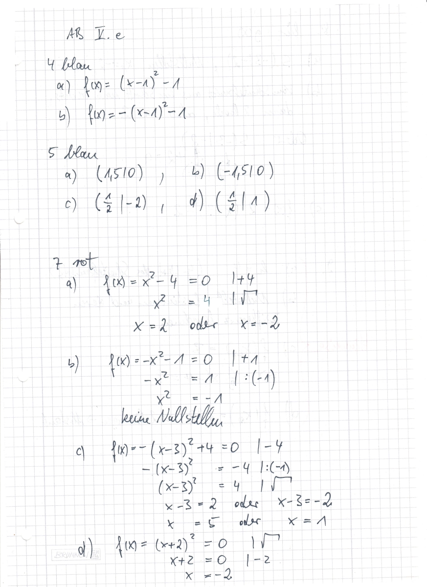
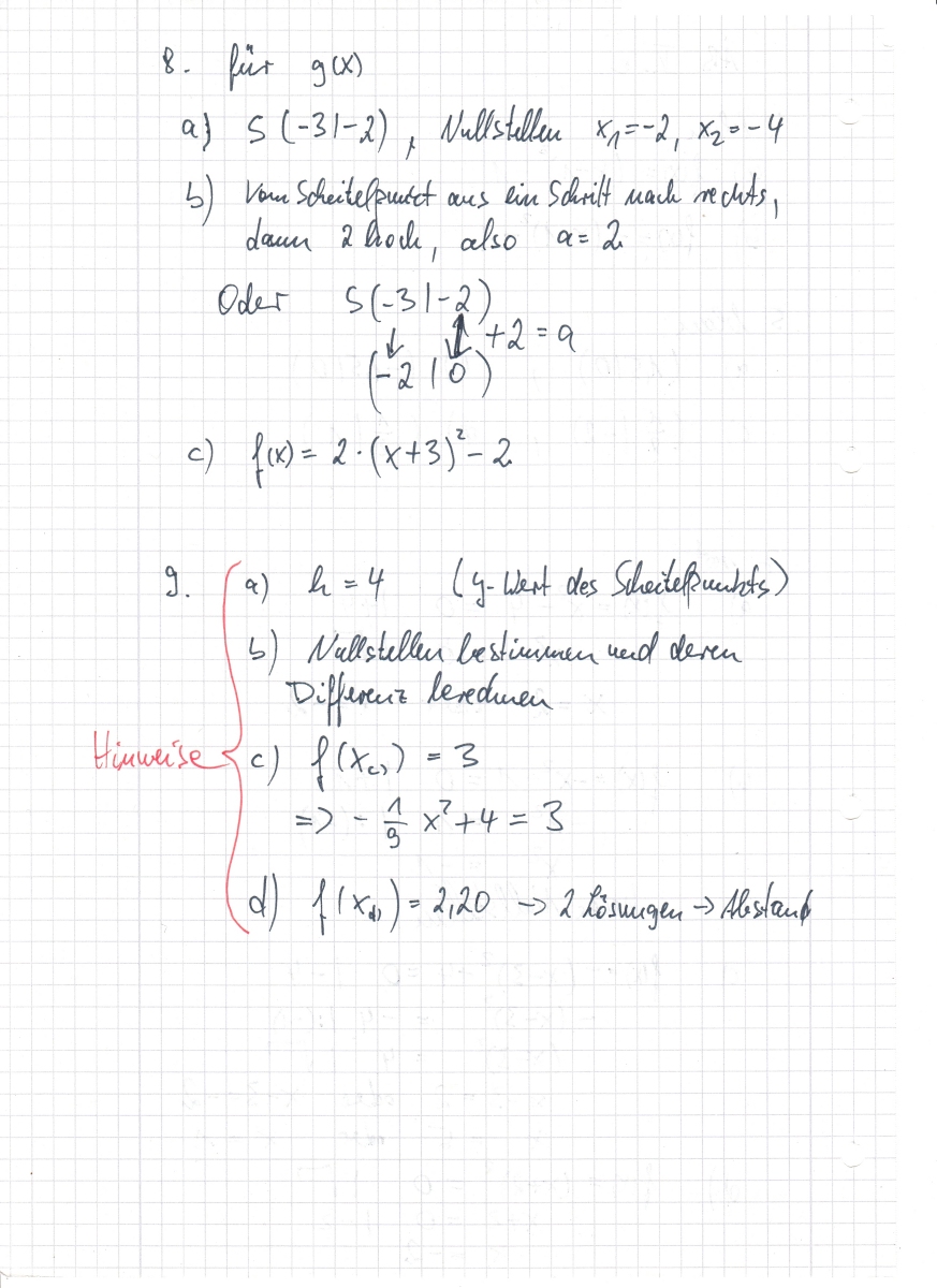
Mittwoch, 25.03
Hier gibt es eine kleine bunte Mischung aus Aufgaben, die wir zuletzt hatten. Das ist also schon eine Wiederholungseinheit.
Folgende Aufgaben sollen gelöst werden:
- 4 ganz,
- 5 blau,
- 6,
- 7 ganz,
- 8,
- 9.
Wenn ich mir das jetzt so ansehe, sind das recht viele Aufgaben. Du kannst sie daher auf heute und morgen aufteilen. Morgen aber dennoch hier wieder nachschauen. :-)
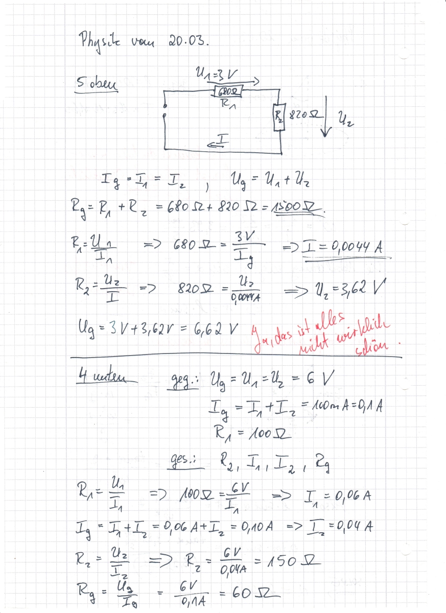
Freitag, 20.03
Heute also etwas Physik. Gefühlt eine Ewigkeit her, dass wir zusammen Physik hatten. Deshalb wärme ich mal den letzten AB auf. Bitte öffnen.
Wir hatten von den oberen fünf Aufgaben die ersten vier erledigt.
1. Auch wenn ich in der Audio-Datei schon ein schönes Wochenende wünsche, sollen bitte die restliche fünf Aufgaben des Blattes "9a Physik AB II. e" gelöst werden. Die Formel, die ihr zusätzlich braucht, ist:
R=U/I (R: Widerstand in Ohm, U: Spannung in Volt, I: Stromstärke in A).
Donnerstag, 19.03
Gestern hatten wir geschaut, ob es überhaupt Nullstellen gibt. Das hing ab von dem y-Wert des Scheitelpunktes yS und dem Streckfaktor/Formfaktor a, der vor dem x2-Term steht.
Heute wollen wir die Nullstellen ohne Taschenrechner berechnen.
1. Bitte öffne zunächst die pdf-Datei des AB V. d. Das ist ein Tafelbild und am Ende sind ein paar Aufgaben.
2. Bearbeite folgende Aufgaben von der zweiten Seite des AB, also der Seite "Üben und Anwenden".
a) Aufgabe 2 rot, a, b, c und d
3. Bearbeite die Aufgaben von dem AB V. d.
Mittwoch, 18.03.
1. Ich wollte nicht so viel schreiben, daher gibt es hier eine Audio-Datei. Sollte es beim Abspielen Probleme geben, dann bitte ich, mir das mitzuteilen.
Bitte öffne zunächst die pdf-Datei des AB V.b.2.
Wir waren ja zuletzt bei Nullstellen von quadratischen Funktionen.
Hier folgt die pdf-Datei des letzten Arbeitsblattes, das wir hatten. Bitte öffnen.
2. Bearbeite folgende Aufgaben von der zweiten Seite des AB, also der Seite "Üben und Anwenden".
a) Aufgabe 1, ganz
b) Aufgabe 3 rot, ganz
c) Aufgabe 4 blau, mindestens sechs der acht