B4: Statistik und Wahrscheinlichkeit - Komplexaufgaben
Wenn ich nicht die Übersicht vorloren habe, müssten zwei Aufgaben unbekannt sein.
1. Lego
2. Drei Münzen

Lösung:
1. wahr - falsch - falsch
2. 18 (wegen 2+6+9+1=18)

3. a) Das Kreisdiagramm I gibt ...
3. b) Jeder Prozentpunkt entspricht 3,6°, also berechne ich zuerst die Prozentzahlen:
0: 2/18=0,111111=11,1111% => α0 = 11,11111⋅3,6° = 40°
1: 6/18=33,33333% => α1 = 33,33333⋅3,6° = 120°
2: 9/18=50% => α2 = 180°
3: 1/18 ist die Hälfte von 2/18, daher ist α3 die Hälfte von α0: α3 = 20°
Zurück zur Aufgabe:


3. Fußballturnier



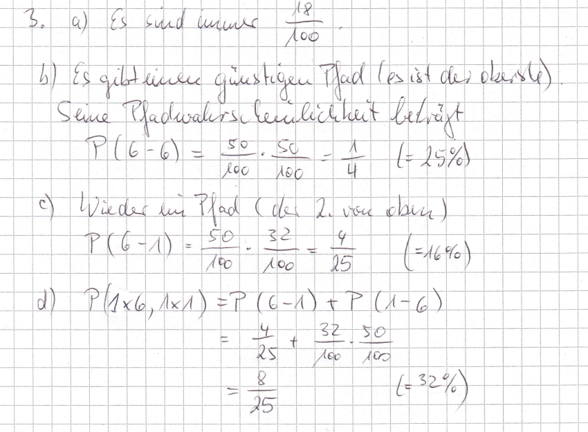
4. Schweine würfeln
Diese Aufgabe ähnelt der „Lego”-Aufgabe sehr. Deshalb werde ich die Lösung recht kurz halten.


1. a): 150/600=¼=25%
1. b): 6
2. Falsch sind:
I, es gibt zwei gleich hohe Säulen, aber keine zwei gleichen Häufigkeiten;
III, die höchste Säule ist doppelt so groß wie die zweithöchste, aber 390 ist mehr als das Doppelte von 150;
IV, die „Suhle” hat eine relative Häufigkeit von 25%, es gibt aber keinen Sektor der ein Viertelkreis ist;
3. 10%


4. a): jeweils 10/100
4. b): 42,25%
4. c): Begründung durch Berechnung. P(Sau-Suhle)=65/100⋅25/100=13/80=0,1625=16,25%. Paula hat offenbar nur den Pfad „Sau-Suhle” in Betracht gezogen. Es geht aber auch der Pfad „Suhle-Sau”, der genauso wahrscheinlich ist. Daher hat Frieda mit 2⋅16,25%=32,5% recht.