B2: Stereometrie - Lösungen zu „Autobahnkirche”, „Anbau”, „Flugzeug” und „Marzipankugeln”
Das sind die Aufgaben, die ich vor den Ferien verteilt habe und die manche auch schon gerechnet haben.
Im Prinzip könnte man die Lösungen in den Korrekturanweisungen lesen, aber ich schreibe es mal so auf, wie ich es machen würde.
In grüner Schrift stehen Überlegungen, die für eine Lösung eher nicht nötig sind. Brüche lassen sich schlecht darstellen, daher benutze ich statt Bruchstrich dieses Zeichen: „/”
1. Autobahnkirche
a)
Sockel: 15⋅20cm=300cm=3m
Kirchenraum: 20m-3m=17m
b)
A=a²=400m²
a=20m
c)
C ist die beste Schätzung, weil die Seitenkante einer Pyramide länger als die Höhe sein muss.
Die Holzfläche besteht aus 4 Trapezen. Also berechne ich zunächst ein Trapez. Die Formelsammlung liefert:
A=(a+c)/2⋅h=(20+3)/2⋅14,6
=167,9m²
Also AHolz=4⋅167,9=671,6m²
Julian glaubt, dass es mehr als 750m² sind, es sind aber weniger: Julian liegt also falsch.
e)
Holla! Da steht ja die Lösung zu a) „Höhe des Kirchenraums”: 3m+14m=17m.
Das gesuchte Volumen ist also ein zusammengesetzter Körper. Die Volumina der Teilkörper kann man einfach addieren. In der Formelsammlung sieht man, dass man entweder die Grundkante a braucht oder die Grundfläche G. Aus b) liest man aber: G=400m². (Beim Quader steht zwar V=a⋅b⋅c, aber ein Quader ist auch ein Prisma, deshalb geht auch die Volumenformel für das Prisma.)
V=VQuader+VPyramideDas gesuchte Volumen ist also ein zusammengesetzter Körper. Die Volumina der Teilkörper kann man einfach addieren. In der Formelsammlung sieht man, dass man entweder die Grundkante a braucht oder die Grundfläche G. Aus b) liest man aber: G=400m². (Beim Quader steht zwar V=a⋅b⋅c, aber ein Quader ist auch ein Prisma, deshalb geht auch die Volumenformel für das Prisma.)
=G⋅k+⅓⋅G⋅k
=400⋅3+⅓⋅400⋅14
=3066,67m³
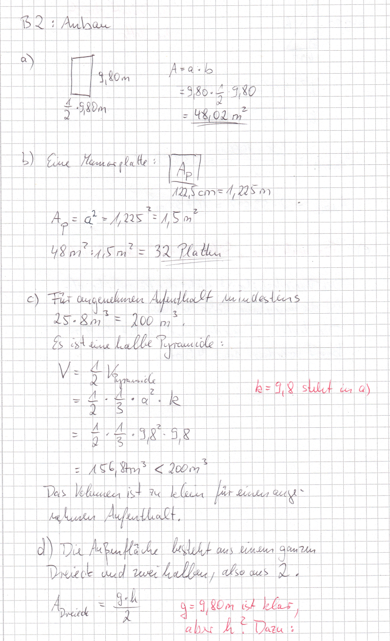
2. Anbau
Das Eintippen hat sich als mühsam erwiesen, deshalb habe ich eine handschriftliche Lösung eingescannt. Die Überlegungen und Kommentare sind jetzt in roter Schrift.
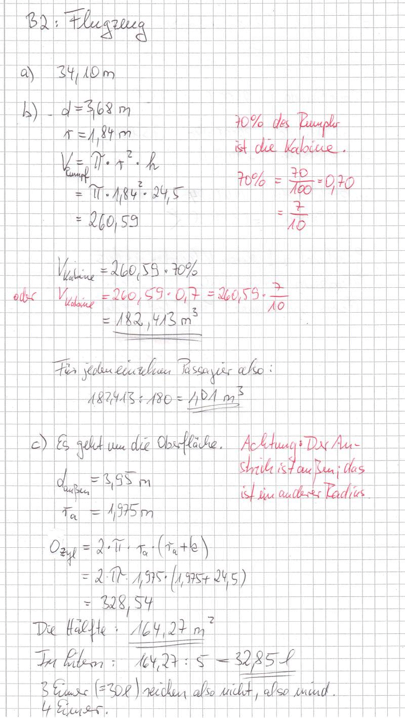
3. Flugzeug
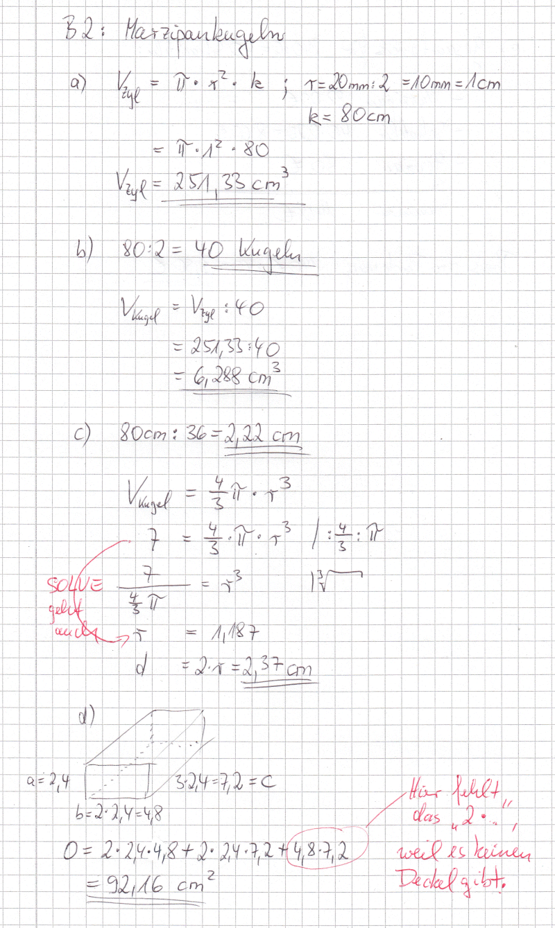
4. Marzipankugeln