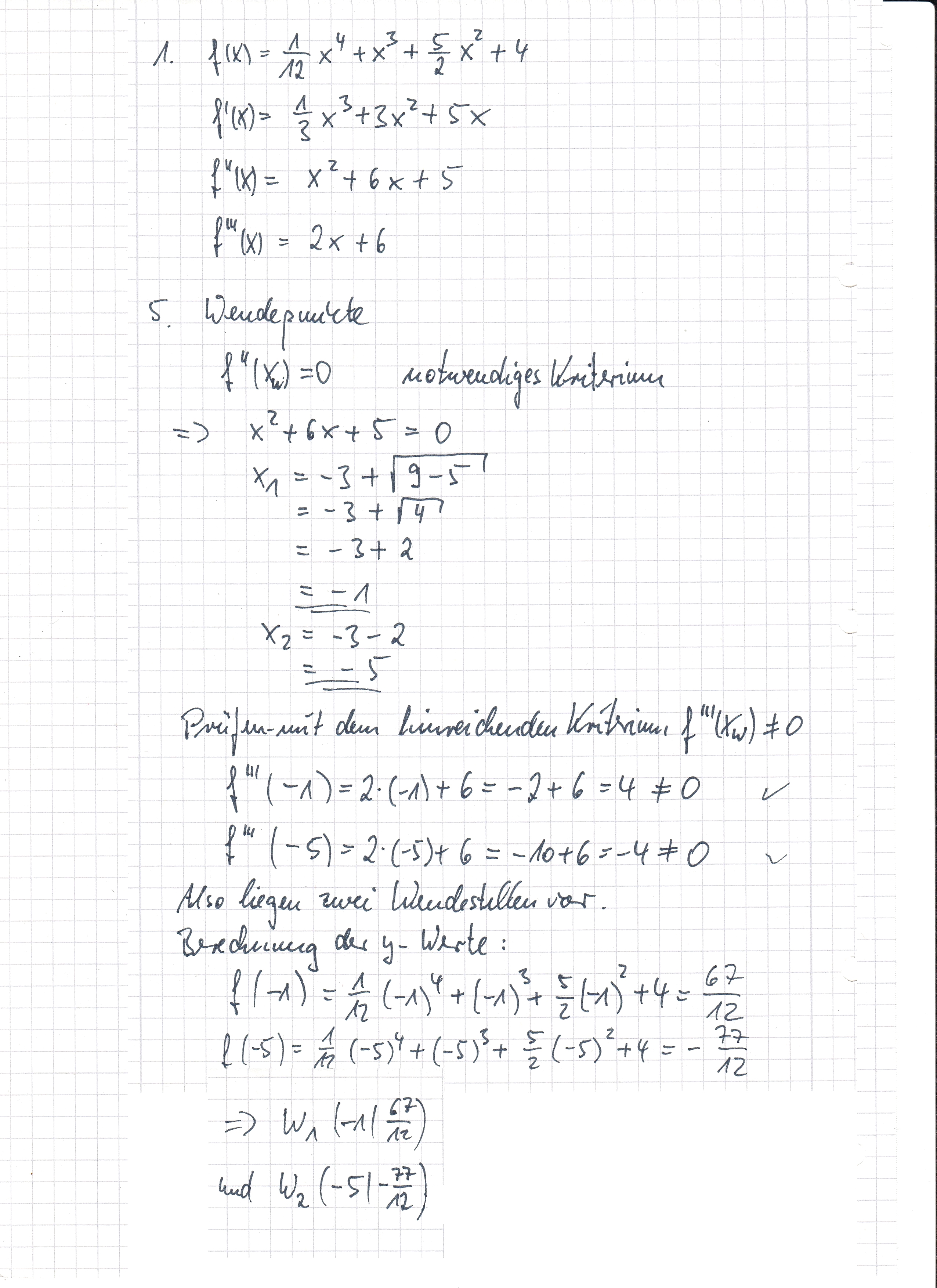
5. Wendepunkte
In einem Wendepunkt ändert der Graph der Funktion seine Krümmung: entweder wechselt er von einer Linkskurve zu einer Rechtskurve oder umgekehrt von einer Rechtskurve zu einer Linkskurve.
Die zweite Ableitung einer Funktion gibt Auskunft über die Krümmung des Graphen: Ist f''(x)<0, so ist der Graph rechtsgekrümmt, und ist f''(x)>0, so ist der Graph linksgekrümmt.
1. Das bedeutet: Im Wendepunkt selbst darf keine Krümmung vorliegen und die zweite Ableitung muss gerade genau null sein.
f''(xw)=0 ist daher die notwendige Bedingung.
2. Um zu prüfen, ob auch wirklich die Krümmung sich ändert bzw. dass f'' von kleiner null zu größer null wechselt (oder umgekehrt von größer null zu kleiner null), braucht man noch das hinreichende Kriterium
f'''(xw)≠0.
Beispiel:

Übungsaufgaben