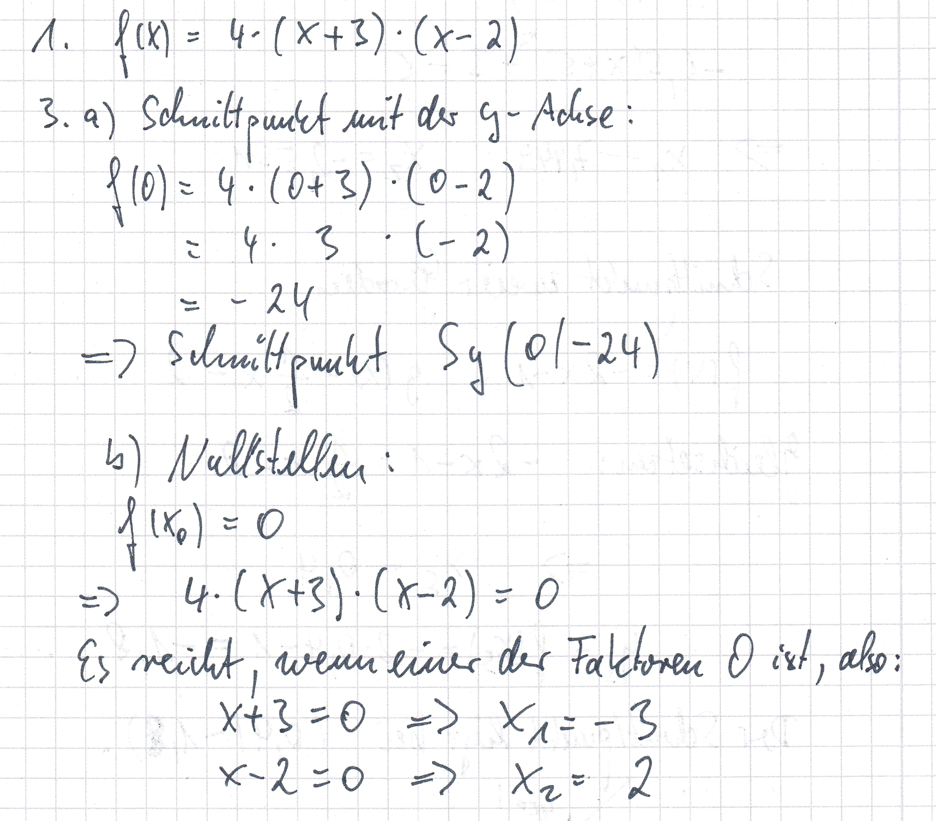
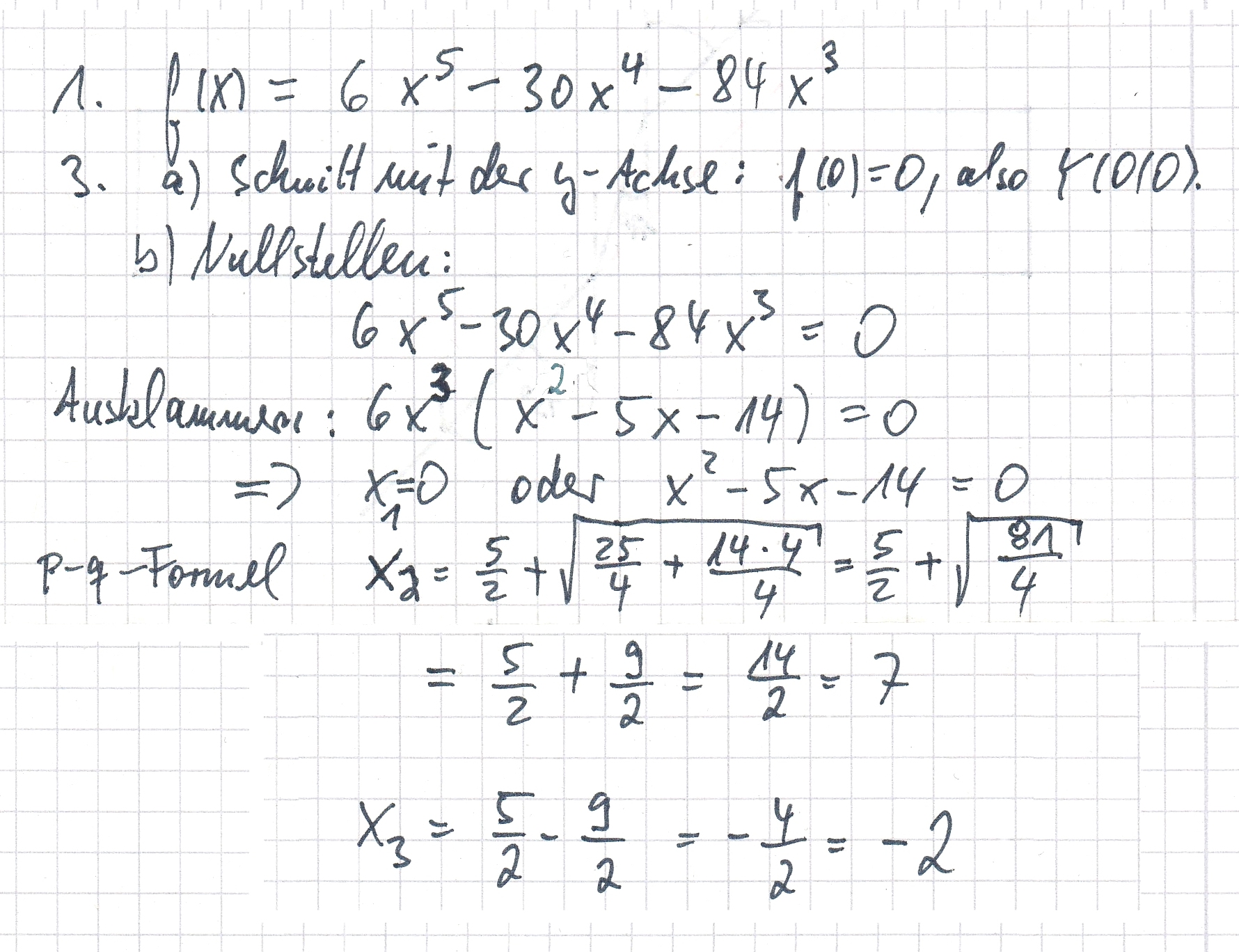
3. Schnitt mit den Koordinatenachsen
a) Schnittpunkt mit der y-Achse
Für diesen Punkt gilt: f(0)=ys. Also setzt man in die Funktionsgleichung für x 0 ein und rechnet aus. Der Schnittpunkt mit der y-Achse ist dann: Y(0|ys).
Beispiel:

b) Nullstellen
Für die Bestimmung der Nullstellen muss folgende Gleichung gelöst werden:
f(x)=0. Dazu setzt man den Funktionsterm gleich null und nutzt verschiedene Verfahren.
Das einfachste Verfahren ist die Nutzung des Taschenrechners: entweder mit SOLVE oder mit MENU A 2 ?, wobei das Fragezeichen für den Grad der Funktion steht und eine Zahl von 2 bis 4 sein kann.
Ein anderes Verfahren ist das Ausklammern. Dann entsteht ein Produkt, von dem man jeden einzelnen Faktor gleich null setzt. Liegt der Funktionsterm schon als Produkt vor, entfällt ggf. das Ausklammern.
Beispiel:

Zuletzt kann es auch nötig sein, eine quadratischen Term mit der p-q-Formel zu lösen.
Beispiel:

Übungsaufgaben