B3 Funktionen
Allgemeines und Quadratische Funktionen
Ich wollte nicht so viel schreiben, daher gibt es hier eine Audio-Datei. Sollte es beim Abspielen Probleme geben, dann bitte ich, mir das mitzuteilen.
Was ist das Ziel?
Abbildung 1:

Abbildung 2:

1. Allgemeines zu Funktionen
Abbildung 4:

Abbildung 5:

Abbildung 6:

Eine Funktion ordnet jedem Element einer Definitionsmenge (hier die blaue links) einen Wert aus einer Wertemenge (hier die rote rechts) zu.
Wie können Funktionen dargestellt werden?
2. Darstellungen
Welche Möglichkeiten der Darstellung es gibt, siehst du in dieser pdf-Datei.
Nun ein paar Aufgaben.
Abbildung 7: Hinweis: In der Aufgabe 1 steht etwas von "die Wasserhöhe in Abhängigkeit von der Füllzeit dargestellt". Was bedeutet der Begriff "Abhängigkeit"? Für unser Beispiel wird das Geschlecht in Abhängigkeit von der Person beschrieben. Das kann man sich so vorstellen: Ohne Person gibt es kein zugeordnetes Geschlecht. Oder hier: Ohne Füllzeit gibt es keine Wasserhöhe.

3. Quadratische Funktionen
Hier einige Beispiele:
Abbildung 1: Die Golden Gate Bridge

Abbildung 2: Basketballwurf

Abbildung 3: Noch eine Brücke

Abbildung 4: Wasserfontäne

Abbildung 5: Senkrechte Verschiebung / Verschiebung in y-Richtung

Abbildung 6: Waagerechte Verschiebung / Verschiebung in x-Richtung

Abbildung 7: Streckung und Stauchung / Streckungsfaktor

1. Bitte öffne zunächst die pdf-Datei des AB V.b.2 der 9. Bearbeite die Aufgabe 2.
2. Abbildung 8: Scheitelpunktform
Gib zu allen Graphen die Scheitelpunktform f(x)=a·(x-d)2+e an.

3. Schau dir die Abbildung 1 vom Dienstag an. Gib auch hier die quadratischen Funktionen in Scheitelpunktform an.
Zunächst ein paar Lösungen.

Und weil es wichtig ist, noch einmal zu der Aufgabe, wie man aus einem Graphen die Scheitelpunktform abliest:
In Textform als pdf-Datei oder als Video:
1. Gib für die Graphen in der Abbildung die jeweilige Funktionsgleichung an.

Als Tipp (oder auch zum Vergleichen mit eigenen Lösungen): In der pdf-Datei gibt es sechs Funktionsgleichungen, von denen tatsächlich fünf zu den Graphen passen.
4. Nullstellen bei quadratischen Funktionen
Ziele für heute:
1. Nullstellen ablesen
2. Nullstellen berechnen
3. Schnittpunkte von zwei Geraden berechnen
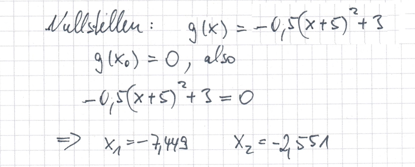
1. Definition: Gilt für eine Funktion f an einer Stelle x0:
f(x0)=0, so ist x0 eine Nullstelle der Funktion.
Im Diagramm sind die Nullstellen dort abzulesen, wo der Graph die x-Achse schneidet.
2. Zur Berechnung der Nullstelle(n) setzt man den Funktionsterm gleich null und löst diese Gleichung mit SOLVE oder anderen Verfahren.

Merke: Bei quadratischen Funktionen liegen die Nullstellen symmetrisch um die x-Koordinate des Scheitelpunktes.